


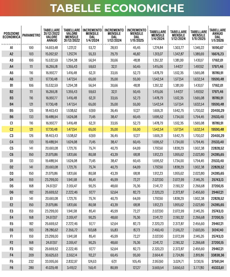
La firma è stata apposta dalle parti sul tavolo trattante il giorno 20 maggio 2024, a Roma, presso la sede di ANFFAS Nazionale. Con la sottoscrizione definitiva si da corso, con vigenza dal 1 gennaio 2023 al 31 dicembre 2025, agli aumenti economici pari al 10,5%, assicurando una concreta risposta economica agli operatori coinvolti. Sulla posizione economica C2 per l’operatore socio-sanitario sono previsti 155 euro di aumento tabellare da riparametrare sulle altre categorie e posizioni economiche. EROGAZIONE DELL'INCREMENTO ECONOMICO
La preintesa, portata in consultazione alle lavoratrici e ai lavoratori coinvolti nelle assemblee, ha registrato un consenso pressoché unanime. La conseguenza ha portato alla sottoscrizione definitiva del nuovo Contratto Nazionale per le lavoratrici e lavoratori dipendenti dalle strutture associative aderenti alla rete ANFFAS-La Rosa Blu.
L’incremento economico sarà erogato in tre tranche con le seguenti modalità:



Se non leggi bene la tabella scarica la locandina pdf completa ASSETTO NORMATIVO LAVORO, DIRITTI E TUTELE GUARDARE AVANTI La sottoscrizione definitiva rappresenta un significativo risultato che va nella direzione dell’innalzamento delle retribuzioni di lavoratrici e lavoratori del settore.
Sul piano normativo è stato inserito il cambio di gestione, fondamentale istituto di salvaguardia del personale negli avvicendamenti tra Enti nella gestione dei servizi, prevedendo la tutela anche per il personale impiegato con contratti a termine.
Sono state inserite specifiche causali sui contratti a tempo determinato. Per ciò che riguarda, invece, diritti e tutele è stato rivisitato e migliorato l’istituto della reperibilità con obbligo di permanenza in struttura, con la previsione di una stringente perimetrazione della fascia oraria, l’aumento dell’indennità da 30 a 35 euro e considerando orario di lavoro retribuito quello svolto dalle 22 alle 24 e dalle 7 alle 9. Sono stati anche inseriti permessi specifici per le donne vittime di violenza.
Un’ulteriore novità è poi rappresentata dalla prosecuzione del confronto tra le parti al fine di giungere ad un aggiornamento del sistema di classificazione, anche a seguito delle intervenute modifiche normative in materia, ivi compresa l’istituzione di Ordini Professionali. Tra gli oggetti sul tavolo di confronto anche l'obiettivo di raggiungere uno specifico accordo di rivisitazione del trattamento economico dell’istituto della malattia.




